お問い合せはこちらから

INFORMATION

お知らせ

第33回国際化粧品技術者会連盟(IFSCC)バルセロナ大会2023にて「化粧品および美容医療で活用されるシワ改善作用機序を全て網羅した植物レチノイドの開発~クリーンビューティー原料~」の研究成果を発表2023.10.24

「1人でも多くの女性に正しい綺麗を」をビジョンに高性能なスキンケアの開発とOEM製造を行う株式会社サティス製薬(代表取締役社長:山崎智士、本社:埼玉県吉川市)は、植物由来で安全性が高く、レチノール様作用、筋弛緩作用、抗炎症作用のように一般的に知られる全ての抗シワ作用を持ち、かつこれまでの課題を克服した抗シワ原料を開発しました。また、2023年9月4日~7日にスペイン・バルセロナで開催された化粧品技術を競う世界最大の研究発表会「第33回国際化粧品技術者会連盟バルセロナ大会*1」にて、研究成果を発表しました。

研究テーマの概要

■背景
化粧品・美容医療業界では、シワの進行時にたどる3つの段階に対応する抗シワ原料が開発されてきましたが、それぞれに課題がありました*2。そこでサティス製薬は、全てのシワ進行段階への対応を網羅しながら既存抗シワ原料が抱える課題を解決した原料の開発を目指しました。

■着眼
代表的な抗シワ原料であるレチノールは、動物の体内ではβ-カロテンが代謝されることでつくられます。しかし、植物ではβ-カロテンが代謝されると、近年健康食品の分野で注目されているクロセチン類に変換されます*3。そして私たちの知る限り、鳥類による種子拡散に活用するためにクロセチン類を大量に蓄積している植物が、くちなし(果実)なのです。くちなしに含まれ、抗シワ作用を含む広範な生理活性が期待されるクロセチンに着目しました*4。

■結果
サティス製薬はくちなし由来で安全性が高く*5、レチノール様作用*6、筋収縮の解放作用*4*7、抗炎症作用*8のように一般的に知られる抗シワ作用を網羅し、かつ既存抗シワ原料の全ての課題を克服した原料「クチナシ由来クロセチン含有エキス」を開発しました*9。本原料を用いてヒト試験を実施したところ、レチノールより高い抗シワ効果が示されました*10。加えて、活性剤や石油由来物質フリーの独自製法を用いることにより、低環境負荷な製造工程としています*11。

■展望
このように全ての抗シワ作用を網羅しつつサステナブルでエシカルな“クリーンビューティー原料” *12を上市することによって、持続可能な行動全般に対する消費者意識を高めることに貢献したいと考えています。

研究員コメント

小沼大希(サティス製薬 研究部研究員)

「本原料がどのようなシワタイプの方にも高いシワ改善実感を与え、化粧品業界における環境とヒトに優しい製品づくりのロールモデルとなり、人々を持続可能な社会と美しい未来へ導くことを期待しております。」

くちなしの果実

サティス製薬とは
サティス製薬は、天然由来成分を中心とした高性能スキンケア化粧品の開発・OEM製造を手掛けています。「日本の素材・技術で価値革新する」ことにこだわり、多種多様な国産素材からオリジナル原料を開発。ユーザーの多様な肌悩みを解消する化粧品づくりへと活用しています。2010年に開始した「ふるさと元気プロジェクト」では、果実の未利用部位や需要が低下する野菜などに、独自技術で美容としての新たな価値を引き出し、100種以上の原料を開発してまいりました。

参考情報

*1国際化粧品技術者会連盟(IFSCC)について
IFSCCは、1959年に世界中の化粧品技術者会により結成された国際機関です。現在は世界各地81地域におよぶ51の団体が加盟し、約16,000名の会員から構成されています。中でもIFSCC大会の「IFSCC Congress」では、数百報の研究発表と1,000名以上の参加者があり、厳正な審査を経たテーマだけが研究発表を行うことができます。名実ともに化粧品や肌に関して世界で最も権威ある研究発表の場となっています。

*2シワ進行の3段階と各段階に対応する既存抗シワ原料の課題

*3動物と植物におけるβ-カロテン代謝の違い

*4くちなしに含まれるクロセチンに期待される抗シワ作用

*5クチナシ由来クロセチン含有エキスの安全性試験結果

*6クチナシ由来クロセチン含有エキスのレチノール様作用

クチナシ由来クロセチン含有エキスは、レチノールよりも優れたコラーゲン分解(MMP-1)抑制作用とヒアルロン酸促進作用を示しました。

*7クチナシ由来クロセチン含有エキスによる血流促進因子の遺伝子発現増加(筋収縮の解放を促す*4)

クロセチンは血管拡張因子の一つである内皮型一酸化窒素合成酵素(eNOS)遺伝子の発現を増加させました。

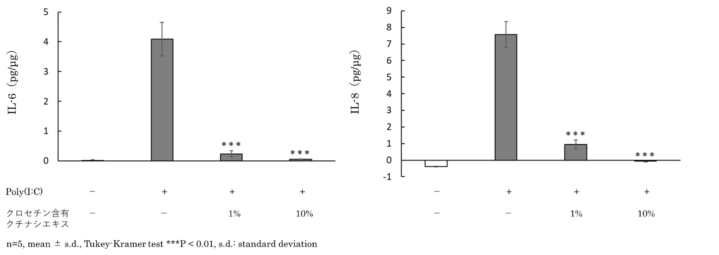
*8クチナシ由来クロセチン含有エキスの抗炎症作用

ケラチノサイトから炎症惹起物質(Poly(I:C))によって分泌される炎症因子、インターロイキン-6(IL-6)とインターロイキン-8(IL-8)の放出をクチナシ由来クロセチン含有エキスは抑制しました。

*9クチナシ由来クロセチン含有エキスは既存抗シワ原料の全ての課題を克服

*10クチナシ由来クロセチン含有エキスの抗シワ作用

4週間の連用試験において、5%クチナシ由来クロセチン含有エキス配合クリームは0.5%レチノール配合クリームよりも高い抗シワ効果がありました(それぞれの推奨濃度で比較)。

*11活性剤・石油由来物質フリーの低環境負荷な独自製造方法

*12クチナシ由来クロセチン含有エキスはサステナブルかつエシカルなクリーンビューティー原料